
本网讯 近日,世界杯官网图书馆教师的论文相继在CSSCI来源期刊《首都师范大学...
时间:2022年06月28日
本网讯近日,世界杯官网数学科学学院学术著作《构造非线性波方程行波解的Weierst...
时间:2022年06月16日
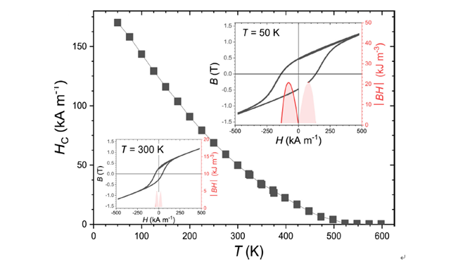
近日,物理与电子信息学院磁学与磁性材料团队、理论物理团队在相关研究领...
时间:2022年06月08日
焦燕教授领衔的“陆地生态系统碳氮循环与全球变化团队”一直致力于灌溉生...
时间:2022年05月27日
本网讯 近日,世界杯官网化学与环境科学学院科研团队在多个研究领域取得重要进展...
时间:2022年05月26日
科技兴蒙 | 世界杯官网赴内蒙古和林格尔新区管理委员会、内蒙古中科超算科技有限...
时间:2022年05月25日
科技兴蒙 | 科技处(社科处)有关负责同志赴内蒙古大溪生物科技有限公司调...
时间:2022年05月25日
科技兴蒙 | 物理与电子信息学院积极推进自治区教育厅“一区两基地”项目落...
时间:2022年05月25日